Money Management
Översikt
- Se på betting som en investering – och håll dig borta ifrån tillgångarna
- Risk vs avkastning
- Den perfekta insatsen: Kelly-formeln
- Bättre än den “optimala” strategin?
- Test utav de olika metoderna
- Vad är en passande riskfaktor
- Optimala riskfaktorn
- Spela på Draw no Bet: Beräkna sannolikhet
- Asian handicap-linor
- Den snabba lösningen
- Flera spel på samma gång
- Slutsats
Hur mycket ska man satsa på ett spel?
Hur mycket pengar ska jag satsa på ett spel? Vad är den rätta insatsen för mig? Svaren på dessa frågor kommer att klargöras i denna artikel om bankrullehantering och insatser, skriven utav den danska experten inom ämnet, Rasmus Dalsgaard.
Ett spelobjekt och kapital är i stort sett det enda som du behöver för att kasta dig rätt in i den spännande sportsbetting världen. Om vi har något att spela på och något att satsa, ja då finns möjligheten där att tjäna pengar.
Marknader att spela på kommer alltid att finnas. Spelbolagen kommer ta hand om det, men hur är det med kapitalet? Det är inte lika givet, därför måste vi vara mer försiktiga med det. Om hela kapitalet förloras så förlorar vi också möjligheten att spela.
Med det sagt, så är det av yttersta vikt att vi handskas med vårt spelkapital så bra som det går. Några känner kanske igen uttrycket a chip a chair ifrån pokern. Så länge som du har marker på bordet så är du med i spelet och har en chans att vinna. Däremot, så fort du förlorar alla dina marker, då försvinner också dina chanser till att vinna något.
Det är exakt samma sak som gäller med sportsbetting, en situation du ska undvika till alla pris. Det är av största vikt att du sköter ditt kapital på ett korrekt sätt. Hela denna övning kallar vi för money management.
Risk väger tyngre än värde
Money management handlar kort och gott om att anpassa insatserna på varje enskilt spel efter ditt kapital, samt efter spelet risk och värde.
Många tror att storleken på din insats ska avgöras efter spelets värde, det stämmer inte helt. Ett spel med lågt värde och en låg risk kan oftare, sett ur ett money management-perspektiv, innebära en högre insats än ett spel med högt värde och en hög risk.
Vikten utav att sköta sitt spelkapital på rätt sätt kan inte understrykas nog, det är därför en mycket viktig del i sportsbetting att välja rätt insatser. Insatsen får inte vara för stor, eftersom en eventuell förlust då gör för stor skada. Omvänt, så får insatsen inte vara för liten, då vinner vi inte tillräckligt vid en eventuell vinst.
Denna artikel kommer att belysa vilka faktorer som du ska tänka på när du sätter storleken för insatserna på dina spel.
Se på betting som en investering – och håll dig borta ifrån tillgångarna
Vill man öka sina vinster ifrån betting så bör man se det som en investering, med liknande tankesätt som vid investering i till exempel aktier och fastigheter. Det behöver inte vara svårt och avancerat, bara genom att göra ett par saker rätt så kan du öka dina vinster markant över tid.
Avsätt en summa för sportsbetting, och sedan fingrarna borta ifrån de pengarna. Tillgångar fungerar som träd många gånger. Med rätt behandling och omgivning så kommer de att växa. Likaså är det lönlöst om du klipper ner trädet varje gång det når en viss höjd. I det fallet kommer trädet aldrig ges chansen att växa sig riktigt stort.
Nedan visas skillnaden i utveckling för två olika kapital över en 20-årsperiod. Båda växer med 10% årligen, men ifrån ett utav kapitalen genomförs det ett uttag på 50% varje år, varav endast den andra halvan återinvesteras.
Om du absolut måste göra ett uttag ifrån din potentiella vinst, gör det så sällan som möjligt och inte mer än en, maximalt två, gånger per år.
Risk vs avkastning
Avkastning och risk går hand i hand. Likt en investerare så ska du alltid sträva efter att öka avkastningen och minska risken. Om du fick möjligheten att placera dina tillgångar i två olika aktier, så väljer du alltid den aktien med högst avkastning om risken är densamma. På samma sätt så vill man alltid välja den aktien med lägst risk om den förväntade avkastningen är densamma.
Investeraren gillar inte ovisshet och instabilitet. Självklart föredras en avkastning på 10% årligen än att det skiftar mellan 10% förlust ena året och 22% vinst under år två, även om det skulle ge samma avkastning i det långa loppet. Fallet är detsamma inom sportsbetting.
När vi analyserar ett spel så kommer vi fram till både sannolikhetsbedömning och ett spelvärde (förhållandet mellan sannolikheten och oddset). Spelvärdet är den förväntade avkastningen ifrån spelet, medans sannolikhetsbedömningen kan ses som ett uttryck för risken. Ju högre sannolikheten är, desto mindre risk och vice versa. Det är vanligt att man vill uttrycka risk i spridning och avvikelser, men det är fullt rimligt att se sannolikhetsbedömningen som ett uttryck för risk. Se följande exempel:
- Bet 1: Sannolikheten är 75%, odds 1,40
- Bet 2: Sannolikheten är 25%, odds 4,20
Gemensamt för dessa två spel är spelvärdet på 105%. Om vi antas spela dessa två spel oändligt antal gånger så kan vi förvänta oss samma avkastning ifrån båda spelen, 5 units i vinst för varje 100 units vi spelar för.
Hur som helst så är spridningen för dessa två spel betydligt varierande. Spridningen för Bet 2 i detta exempel är nio gånger större än för Bet 1. Det ger en mycket större variation, som kan ses i grafen nedan, där 1000 spel är simulerade med 1 unit per bet för både Bet 1 och Bet 2. Vinsten visas på Y-axeln, medans antalet spel visas på X-axeln.
Även om den förväntade avkastningen är densamma, så skillnaden mellan de två graferna självklar. På spelet med det låga oddset får vi en stadigare avkastning utan några större avvikelser. Det betyder att vi kan riskera en större del utav vårt kapital då risken för flera förluster på rad är begränsad.
Med det höga oddset kan vi å andra sidan endast använda en mindre del utav vårt kapital, då vi kommer vara mer utsatta för avvikelser. Självklart är det mer vinnande under de perioder då det går bra, men i tyngre perioder kan allt snabbt förloras.
Om vi istället anpassar vår insats, så kommer vi få en mycket stadigare avkastning. I grafen nedan är principen den samma. Den enda skillnaden är att 1/3 unit spelas på Bet 2, medans Bet 1 fortfarande spelas med 1 unit.
På spel med högre risk, kan man reducera avvikelserna genom att sänka insatsen.
Den perfekta insatsen: Kelly-formeln
Alla som investerar i något ska alltid sträva efter att optimera sin portfolio för att få bästa möjliga avkastning i förhållande till risken. Detsamma gäller såklart för sportsbetting. Då bestämmer vi insatserna själva, och genom att använda rätt insats, så är det möjligt att optimera vinsten.
År 1956 presenterade J. L. Kelly en formel för hur man kan räkna ut den optimala insatsen för ett bet med en angiven sannolikhet och ett angivet odds. Formeln kallas för Kelly-strategin. I det långa loppet så kommer denna strategi att löna sig mer än någon annan.
Det här är hur Kelly-formeln ser ut, något förenklad:
f* är den del utav kapitalet som är lagt på spelet
p är sannolikheten att spelet vinns
o är oddset angivet i decimalform
Om vi applicerar Kelly-formeln på de föregående två exemplen, Bet 1 och Bet 2, så kan vi se den optimala insatsen för varje bet:
Låt oss addera ytterligare ett spel, Bet 3, med följande parametrar: Sannolikheten = 0,25, odds = 5,00 (spelvärde = 125%)
Kelly-formeln kommer då att se ut enligt följande:
Det är intressant att se hur mycket man ska satsa på vart och ett utav de tre spelen enligt Kelly-formeln. Bet 3 kräver en större insats än Bet 2. Det säger nästan sig själv. Risken för de två spelen är identisk, medans avkastningen är större för Bet 3.
På samma gång ser vi att Bet 1 kräver en större insats än Bet 3. Den förväntade avkastningen är aningen lägre, men på samma gång är risken mycket mindre. Med detta sagt kan vi konstatera följande:
Risken med ett spel är av större betydelse för insatsen än vad värdet är, som ändå ska tas med i beräkningarna, då ett högre värde bör ge en större insats.
Kelly-strategin är bäst, men endast på papper
Kelly bevisade att formeln var den optimala strategin. Där finns helt enkelt ingen annan betting strategi som ger en större avkastning över tid. Trots det, så är det ingen bra idé att följa den slaviskt då där finns ett antal faktorer som gör att en mer konservativ metod är att föredra. Även förespråkare utav Kelly-strategin argumenterar ofta för att du endast ska spela för en del av vad strategin föreslår.
Först och främst, Kelly-strategin kräver att du har ett visst antal av varje enskilt spel. Det går såklart inte att genomföra då en specifik match endast spelas en gång. Istället kan vi påstå att så länge du hittar spel med liknande sannolikhet och spelvärde så uppfyller strategin sitt syfte.
Hos våra grannar på BetXpert.com publicerades 2882 speltips under 2010 med ett genomsnittligt spelvärde på cirka 108. Det är tillräckligt många för att möta kravet på antalet spel. Dagen då du hittar ett spel med sannolikheten 75% och oddset 2,00, så ska man oavsett aldrig satsa 50% utav kapitalet. Spel med dessa parametrar finns där inte tillräckligt utav för att utjämna avvikelserna. Dessutom så är det en stor risk att du begått en felvärdering när du är så pass oenig med spelbolaget.
Sannolikhetsbedömning: Var försiktig
Det tar oss till nästa problem: Sannolikhetsbedömningen. För att använda oss utav Kelly-formeln behöver vi en sannolikhetsbedömning. Bedömningen kommer alltid vara en uppskattning, där finns aldrig något rätt svar. Om du följer Kelly-strategin kommer du hur som helst bli hårdare straffad om du är överoptimistisk i dina sannolikhetsbedömningar än om du är konservativ. Endast ett par procentenheter har en stor inverkan på hur stor insats du ska spela för.
Genom att ta en större risk (högre insats), ökar sannolikheten för både mycket goda (stor tillväxt i kapitalet) och mycket sämre (stor förlust utav kapital) resultat. En viktig aspekt med Kelly-strategin, är att man vid en för hög insats minskar sannolikheten för ett bra resultat, medans man samtidigt ökar sannolikheten för ett mycket dåligt resultat. Därför lönar det sig att vara mer konservativ än vad Kelly-strategin påtalar.
Undgå dålig magkänsla
Det är möjligt att man uppnår bäst resultat genom att följa Kelly-strategin, men hur blir det då med tiden från och med nu till dess att du räknar ihop dina resultat? Det är förstås trevligt om du lyckats dubbla dina vinster med 100 över en tioårsperiod, men hur skulle det kännas om du istället förlorade allt på bara sex månader från nu?
Kelly-strategin är en väldigt ostadig strategi där det svänger mycket upp och ner, vilket kräver en enorm mental styrka för att övertala dig själv om att det är rätt väg att gå, även om du skulle förlorat halva ditt kapital efter bara fem spel. Ett mer konservativt tillvägagångssätt leder till färre svängningar i resulaten.
Med detta sagt så är det sista argumentet emot strategin psyket. Den psykologiska aspekten är en vital faktor. För en del personer är det bättre att spela för mindre än vad Kelly-strategin säger. Det hjälper inte om du ligger sömnlös eller har ont i magen över att du hela tiden spelar för 10% utav hela ditt kapital på ett enda spel.
Bättre än den “optimala” strategin?
Vi har just läst om en rad anledningar till varför man inte ska använda den optimala strategin. Så vad ska vi använda oss utav istället? Nedan kommer vi att gå igenom tre olika metoder och ställa de emot varann.
Metod 1: Flatbetting
Flatbetting har fördelen av att det är enkelt att förstå. Hur som helst, så är det också det enda som förespråkarna kan säga om strategin. Kort sagt, flatbetting är när du satsar samma belopp på varje spel, utan hänsyn till värde, kapital eller risk. Det leder till att du i dåliga perioder förlorar större och större delar utav ditt kapital, medans du i perioder där det går bra vinner mindre och mindre.
Inget utav alternativen kan ses som särskilt tilltalande. Tillväxten utav ditt kapital, när du använder dig utav en fast insats utan undantag, kan ses som linjär.
Metod 2: Flatbetting v2.0
Istället för att använda dig utav en fast summa som insats, så använder du i metod två en fast procentdel utav ditt kapital som insats. Det lönar sig i både bra och dåliga perioder framför spel med en fast summa. Tillväxten utav ditt kapital blir exponentiell.
Det kan enkelt illustreras genom att ta två stycken extremfall. Ena fallet visar hur det ser ut när du vinner 100 spel i rad (odds 2.00), visas i de två översta graferna i diagrammet nedan. Det andra extremfallet visar när du förlorat 100 spel i rad, vilket är de två under graferna i diagrammet.
I båda fallen är metoden med fast procentdel överlägsen. Det är även värt att notera att när man använder sig utav en fast summa som insats, utan anpassning efter vinster eller förluster, så kommer du förlora allt ditt kapital efter 100 förluster i rad. Teoretiskt sett så skulle detta aldrig kunna inträffa då du använder dig utav en fast procentuell insats eftersom kapitalet minskar exponentiellt. Att spela med en fast procentuell insats istället för en fast summa innebär i praktiken att du anpassar din insats efter varje spel.
Anpassa insatsen så ofta som möjligt, helst efter varje spel, det betalar sig i det långa loppet.
Metod 3: Den korrekta insatsen?
Till sist, låt oss kolla på en metod för att beräkna insatsen där vi tar hänsyn till både risk och spelvärde, men värdesätter risk högre, och där vi på samma gång automatiskt anpassar vår insats efter varje bet.
f* är den del utav kapitalet som ska användas som insats på spelet
p är sannolikheten att du vinner ditt bet (sannolikhetsbedömningen)
r är en riskfaktor mellan 0 och 1 (0.02 är till exempel 2% av kapitalet)
b är spelvärdet för spelet
Exempel:
Sannolikhetsberäkning: p=50% > värde ner till 2.00 =o0
Odds = 2.212
Spelvärde: 1.06
r = 0.03
f* = 0.5 *1.06 =1.59 %
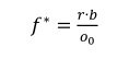
Då vi vet att sannolikhetsbedömningen och det rätta oddset är varandras reciprokvärde (p=0o-1), så kan formeln skrivas enligt följande:
0o är det rätta oddset, med andra ord det lägsta möjliga oddset som är värt att spela på.
Exempel:
f* = r*b/Oo
f* = 0.03 * 1.06/2 = 1.59%
De tre spelen som illustrerades tidigare i guiden skulle således, med en riskfaktor på 0.02, ge oss följande insatser:
- Bet 1: 0.75 * 0.02 * 105 = 1.575 % (Kelly-formeln = 12.5 %)
- Bet 2: 0,525 % (Kelly-formeln = 1.5625 %)
- Bet 3: 0.625 % (Kelly-formeln = 6.25 %)
Här tas risken med spelet, i form utav sannolikhetsbedömning, med i beräkningarna men på samma gång ger ett högre spelvärde en högre insats. Riskfaktorn bestämmer hur mycket du maximalt kan förlora på ett spel. Tillväxten utav kapitalet är exponentiellt.
Notera: Om du hittar ett spel med tillräckligt stort värde och tillräckligt låg risk (till exempel 150 och 0.75), kan du behöva använda en insats som överstiger riskfaktorn. I dessa fall bör man se över sannolikhetsbedömningen en andra gång. Som tidigare nämnt, det är mer förödande att vara för optimistisk än för konservativ. Det är en bra idé att överväga om man ska minska insatsen, för att vara på den säkra sidan.
Personligen så minskar jag insatsen i nivå med riskfaktorn, såvida jag inte är helt säker på att min sannolikhetsbedömning är sånär på 100% korrekt. Vidare, så använder jag mig aldrig utav insatser större än vad Kelly-formeln föreslår.
Test utav de olika metoderna
För att se hur effektiva de olika metoderna är så har följande scenarion tagits fram:
10 000 spel med slumpmässig:
- Sannolikhetsbedömning mellan 25% och 75%
- Spelvärde mellan 101% och 107%
Följande tre metoder används för att bestämma insatsen (startkapital = 100 units)
- Metod 1: Fast insats på 1.04 units
- Metod 2: Fast procentuell insats på 1.04%
- Metod 3: f* = p * r *b, där r = 0.02
Riskfaktorn, r = 0.02, ger en genomsnittlig insats på 1.04 %. För att göra utgångspunkterna de samma så valdes 1.04 % och 1.04 för Metod 2 och 1.
Efter att ha simulerat scenariona ovan 1000 gånger så börjar det bli tydligt vilken metod som ger störst avkastning.
- Metod 1: 0.00 %
- Metod 2: 17.3 %
- Metod 3: 82.7 %
Metod 3 var överlägsen. Vidare, kan vi se att flatbetting är något som man ska hålla sig ifrån då man vill maximera avkastningen. Metod 2 är bättre än metod 1 i mer än 95 % utav fallen.
Om Kelly-strategin användes skulle den, föga överraskande, vara bäst i 95.8 % utav fallen, men där skulle, som tidigare nämnt, finnas en rad olika anledningar till att inte följa strategin.
Vad är en passande riskfaktor
När vi kollar på den genomsnittliga insatsen, som Kelly-formeln använder sig utav i scenariot ovan, är den 4.2 % utav kapitalet. Med en riskfaktor på 0.08, kommer du att få en genomsnittlig insats med samma scenario på 4.16 %. Det är extremt aggressivt, och troligen för mycket för de flesta spelare.
De flesta skulle säkerligen tjäna på en riskfaktor mellan 0.02 – 0.05, men det varierar från spelare till spelare och beror på temperament. En sak som är säker är att ju högre riskfaktor man spelar med, desto större kommer svängningarna i resultaten att bli.
Riskfaktorn kan även vara för hög. Att Kelly-strategin visar en insats på 4.2 % utav kapitalet är en stark indikator på att 0.08 är i högsta laget av vad riskfaktorn ska vara. Om du till exempel har en riskfaktor på 0.08, så ska 2.1 % satsas på Bet 2, medans Kelly-strategin säger just under 1.6 %. I fall som detta, så ska du alltid, som minst, sänka insatsen till nivå med Kelly-strategin.
Optimala riskfaktorn
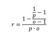
Där finns såklart ett samband mellan Kelly-strategin och denna metod. Genom att bestämma en specifik riskfaktor, kommer du att ges den exakta insatsen för Kelly-strategin:
Som vi kan se ovan, så är den optimala riskfaktorn endast beroende utav sannolikhetsbedömningen, r, och oddset för spelet, o.
Ifrån de tre tidigare scenarierna, så får vi följande värden för r:
- Bet 1: 0.16
- Bet 2: 0.06
- Bet 3: 0.20
Det kan låta väl konservativt att hålla riskfaktorn under 0.05, men du måste komma ihåg anledningarna till att vara mer konservativ än Kelly-strategin. Satsa ALDRIG mer än vad Kelly-strategin säger.
Personligen, använder jag mig utav 0.03 som riskfaktor, men det händer att jag för enskilda bet anpassar den upp eller ner. Upp är när jag är säker på att sannolikhetsbedömningen är korrekt och spelvärdet är bra, och ner när jag är osäker på spelvärdet och sannolikheten.
Det händer sällan dock. Även om det möjligen finns mer att vinna på att frekvent anpassa insatsen för varje bet, så undviker jag det helt enkelt för att spara tid, men också för att den nuvarande insatsnivån passar mig mentalt. Vidare, så vet jag att jag tar hänsyn till det viktigaste: kontinuerlig justering för risk och spelvärde.
Spela på Draw no Bet: Beräkna sannolikhet
Där finns en lång rad av olika spelmarknader, till exempel särskilda Asian Handicap-linor, där en viss utgång gör spelet annullerat. När du spelar på dessa marknader, så ska du alltid anpassa dig till det faktum att ditt spel kan bli annullerat. Låt oss säga att ett spel har sannolikheten 45-20-35, där 20% är på en utgång som ger oddset 1.00, alltså pengarna tillbaka.
I detta fallet kan du ignorera utgången som ger insatsen tillbaka. Det lämnar oss med sannolikheterna 45-35. Eftersom detta inte ger oss 100 %, så måste vi anpassa sannolikhetsberäkningarna. Det gör vi genom att ta sannolikheten för utfallet och dela det med summan av alla utfall.
Sannolikheten att spelet går in är således: 45/(45+35) = 56.25 %. När vi går ignorerar no-bet utgången så blir den nya sannolikheten 56.25 % - 43.75 % (notera: spelvärdet beräknas fortfarande med den ursprungliga sannolikhetsbedömningen, inkluderat chansen för no-bet utgången)
På ett spel med sannolikhetsbedömningen 45-20-35 och 1,85 på 45% med pengarna tillbaka 20% utav gångerna, (vilket ger ett spelvärde på: (45 * 1.85) + (20 * 1) = 103.25), insatsen (med r = 0.02) ges vi:

Asian handicap-linor
Utöver draw-no-bet alternativet så finns där en lång rad med Asian-linor. Lag kan även få halv- och kvartshandicap, men det är inte speciellt komplicerat. Om linan är halv (+0.5; +1.5; +2.5) har spelet endast två utgångar, och du satsar på samma sätt som på övriga spel med två utgångar.
Ett spel med en kvarts lina (+0.25; +0.75; +1.25) är egentligen två spel. Ett spel på +0.75 betyder att halva insatsen är placerad på +0.5 och andra halvan utav insatsen på +1.0.
Låt oss föreställa oss att det föregående exemplet är för en AH -1 lina, där det är 45 % chans att det blir vinst med två mål eller fler och 20 % chans att det blir seger med exakt ett mål. AH -0.5 linan är således för en seger, vilket ges 65 % chans. För att beräkna insatsen, delar du helt enkelt beräkningarna i två.
För AH -1.0 linan får vi följande:
För AH -0.5 linan får vi följande:
Eftersom vi i princip har samma storlek på insatsen i de båda spelen, värderar vi dem som lika, vilket ger oss att den totala insatsen ska vara:
Låt oss säga att spelvärdet för detta spel är b = 105 %, och den totala insatsen blir 1.27 %.
För komplicerat? Där finns ett enklar sätt, som är både snabbare och smidigare.
Den snabba lösningen
Även om vi alla strävar efter att maximera vår avkastning, så måste det ställas i relation till hur mycket tid vi lägger ner på att hitta rätt spel och det vi får tillbaka ifrån det.
Där finns mest troligt ingen som är villig att spendera timme efter timme på att beräkna hur mycket som ska satsas för varje spel. Därför ska money management inte innebära ett mattetest varje gång det är dags att lägga ett spel. Det måste vara enkelt och kontinuerligt.
Metoden som nämns ovan är i grunden inte särskilt komplicerad, när du väl blir van med att använda den, men där finns en genväg.
En snabb metod för att hitta rätt insats är:
f* delen utav ditt kapital som ska satsas
p är sannolikheten att ditt spel går in (sannolikhetsbedömning)
r är riskfaktorn med ett värde mellan 0 och 1 (exempel: 0.02 betyder 2 % utav ditt kapital)
Här betyder ett högt spelvärde inte automatiskt en högre insats, utan istället har den viktigaste aspekten, risken tagits i beaktning. Denna metod är såklart inte lika bra som Metod 3 från tidigare, men är samtidigt betydligt bättre än både Metod 1 och Metod 2. Om du på samma gång har en bra riskfaktor, så kommer du sällan hamna över Kelly-formeln med dina insatser, och du sparar tid på beräkningarna.
Ett annat sätt att skriva formeln på är:
Om du vet med dig om att ett spel har värde ner till oddset 1,50, så är det enkelt att beräkna insatsen till 1.33% (när r = 0.02). Det här gäller för samtliga AH-linor och DNB-spel! Genom att multiplicera med spelvärdet, får vi samma resultat som i den föregående paragrafen.
Flera spel på samma gång
Ett utav kraven med Kelly-strategin är att du endast kan ha ett levande spel åt gången. Det är såklart inte möjligt, om du vill spela på två matcher som spelas på samma tid, eller om du spelar på utgångar som inte avgörs med en gång. Personligen, så är detta inte något som jag tänker på alltför mycket, men för sakens skull, så presenteras problemen nedan.
Det är en fördel med att få ett spel avgjort innan väljer att lägga nästa spel. Om du vinner, så kan både insatsen och vinsten återinvesteras med en gång. Det är enkelt att tro att det bara handlar om små summor, men i det långa loppet kommer det göra skillnad. Sammanfattat så vill vi ha en så hög vinstprocent utav kapitalet som möjligt. Det har redan förklarats i exemplet om kapital och full återinvestering.
Å andra sidan, om spelet går förlorat, så kommer du inte att sitta i en sämre sits för det, än om du spelade ett nytt spel innan det tidigare var avgjort. Det beror på att insatsen på ett spel som inte är avgjort ses som förlorad tills det att motsatsen bevisas. Enkelt förklarat, icke avgjorda spel ska inkluderas i kapitalet som insats + förväntat adderat värde (insats + spelvärde). För att detta inte ska bli för svårt och tidskrävande, och med tanke på att vi föredrar ett mer konservativt tillvägagångssätt, så ser vi förbi detta.
Vårt kapital är de pengar som vi inte redan placerat på ett spel. Som tidigare nämnt så kommer vi finna oss i situationer där vi har två levande spel samtidigt. Låt oss säga att vi har två spel med exakt samma sannolikhet att gå in (50 %) och exakt samma odds (2.10). Båda matcherna spelas samtidigt.
Båda spelen kräver en insats på 1.05% (r = 0.02), men vilken match ska vi spela först på? Med ett startkapital på 100 units, så ska det första spelet vara på 1.05 units. Därefter är kapitalet nere på 98.95 units, vilket betyder att det andra spelet ska vara på 1.039 units. Du kan tycka att sådana här små marginal inte spelar någon roll, men om du planerar för större insatser, så är detta utav stor vikt och kan beräknas.
Först måste du räkna ut den totala insatsen: 2.09 units.
Hälften utav det här ska sedan placeras på vart och ett utav spelen.
I ett annat fall, där vi antar att spelen inte var exakt identiska, så föreställer vi oss att ett utav spelen skulle ha 1 % insats och det andra 2 %. Då skulle spelen vara uppdelade enligt följande: (1%/(1%+2%))=1/3 på ett spel och (2%/(2%+1%))=2/3 på det andra.
Personligen, så är detta inget jag oroar mig för. Om möjligt, så väntar jag alltid till dess att mina öppna spel är avgjorda innan jag lägger nya spel. Värt att notera är dock att jag aldrig väntar med att lägga ett spel om jag märker att oddset sjunker, att få högsta möjliga odds är fortfarande utav högsta prioritet. Jag anpassar mig inte efter två spel som pågår samtidigt, det blir för mycket jobb i längden.
Slutsats
Låt oss slutligen summera de viktigaste sakerna att tänka på när det kommer till money management.
Se betting som en investering. Sträva efter att öka kapitalet och genomför inte uttag för ofta.
Kelly-formeln är optimal, men där finns en rad problem med att använda den. Hur som helst så kan vi konstatera att riskfaktorn för spelet är viktigare för val av insats än vad spelvärdet är. På samma gång så måste värdet tas med i beräkningarna, då ett större spelvärde betyder en större insats.
Vidare, så är det viktigt att anpassa dina insatser så ofta som möjligt, helst efter varje bet.
En metod som tar alla dessa faktorer i beräkning är:
Denna metod är märkbart överlägsen en fast procentuell insats och extremt överlägsen en fast insatssumma.
Metoden inkluderar en riskfaktor, som du sätter själv. Den borde inte vara över 0.05 och kan inte vara över 0.8. Om du slutar med en insats högre än vad Kelly-strategin rekommenderar, så bör du sänka insatsen i nivå med Kelly-strategins rekommendation.
När du spelar på spel där en utgång annullerar spelet, så ska du anpassa sannolikheten för att spelet går in. Det samma gäller för halv- och kvartslinor Asian Handicap.
En snabbare metod är:
Eller:
Denna metod tar inte tesen om att större spelvärde ger en större insats med i beräkningarna, men är fortfarande överlägsen flatbetting och en fast procentuell insats.
Försök så gott det går att få dina spel avgjorda innan du lägger ett nytt spel. I det långa loppet kommer det att öka dina vinster, men vänta inte med att lägga ett nytt spel om du märker att oddset sjunker.
Källor
- Kelly, J. L., Jr. (1956), "A New Interpretation of Information Rate", Bell System Technical Journal35: 917–926
- Poundstone, William (2005), “Fortune's Formula: The Untold Story of the Scientific Betting System That Beat the Casinos and Wall Street”, New York: Hill and Wang
- Thorp, E. O. (January 1961), "Fortune's Formula: The Game of Blackjack", American Mathematical Society
- Thorp, E.O. (June 1997), “The Kelly Criterion in Blackjack, Sports Betting, and the Stock Market”, The 10th International Conference on Gambling and Risk Taking
- Thorp, E. O. (May 2008), "The Kelly Criterion: Part I", Wilmott Magazine